Глава фракции Батькивщина в парламенте Юлия Тимошенко дважды отказалась объяснять происхождение десятков тысяч долларов, которые должны быть оплачены фирмой, действующей от её имени на счет компании Барри Беннетта, бывшего помощника Дональда Трампа, за предоставление ей лоббистских услуг на территории США.
Об этом говорится в программе Схемы.
На просьбу прокомментировать вопрос об американских лоббистах в США, сначала пресс-секретарь фракции Батькивщина сообщила, что Юлия Тимошенко даст ответ позже. Однако, когда вопрос прозвучал второй раз, Тимошенко вообще проигнорировала его и быстро скрылась за дверью сессионного зала парламента.
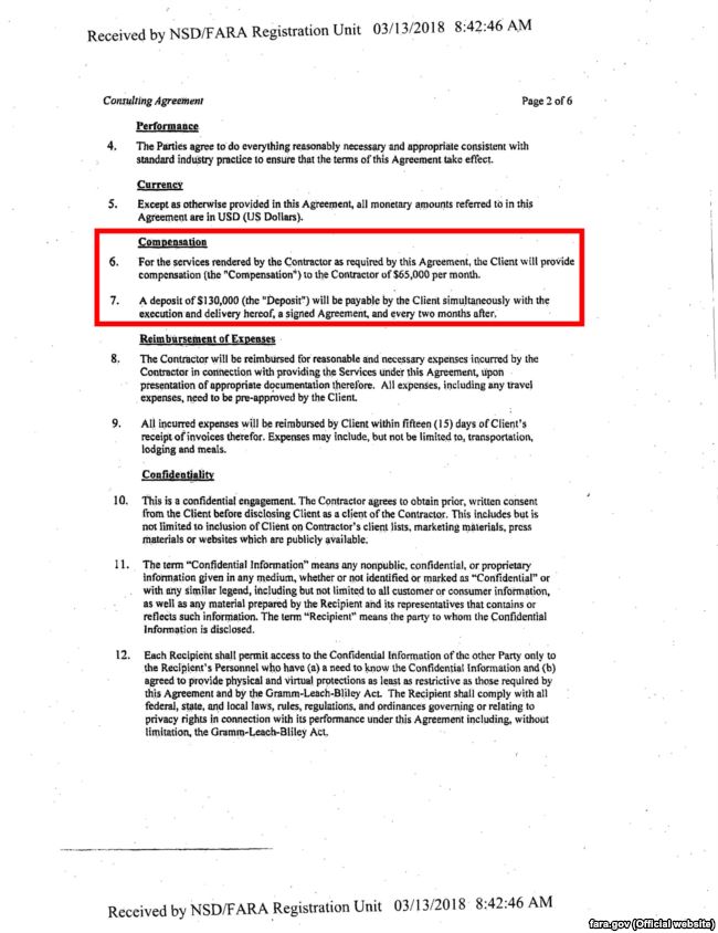
Также в материале говорится, что фирма Avenue Strategies, которую возглавляет Берри Беннетт, подала в Министерство юстиции США документы, где говорится о том, что стоимость лоббистских услуг для Тимошенко составляет $65 тыс. в месяц.
В документах отмечается, что контракт с фирмой Берри Беннетта подписала не самая Юлия Тимошенко, а фирма Two Paths LLC, действующая от ее имени.
Журналисты програмы таже узнали, что фирма Two Paths LLC создана 13 февраля 2017 года зарегистрированна в так называемом "оффшорном" штате Делавэр. Узнать ее реальных владельцев из публичных источников невозможно, компания даже не обязана их указывать при регистрации. Она также не публикует свои годовые финансовые отчеты. Все это дает достаточно высокую степень анонимности клиентам, которые выбирают штат Делавэр как место регистрации своих юридических лиц.
Также отмечается, что именно эта фирма, согласно контракту с американскими лоббистами, имеет от имени Тимошенко платить десятки тысяч ежемесячно за предоставление украинскому политику "лоббистских" услуг.
Опрошенные юристы говорят, если это деньги самой Юлии Тимошенко – то она должна указать эти расходы в своей ежегодной электронной декларации по итогам 2018 года и объяснить их происхождение.
В случае, если деньги за лоббистские услуги, предоставленные Тимошенко платит постороннее физическое или юридическое лицо, – это трактуется законом как подарок, который должен быть отображен в декларации в течение 10 дней с момента получения этих услуг, утверждают юристы. При этом у правоохранителей могут возникнуть вопросы, на основании чего кто-то сделал такой ценный подарок политику.
Напомним, ранее американское издание The Hill сообщило, что Юлия Тимошенко в подготовке к президентским выборам наняла американских лоббистов, которые работали на кампанию Дональда Трампа.
Контракт продлится с февраля по август 2018 года. Предусмотрена также возможность его продления. Также глава лоббистской компании Берри Беннетт, который работал старшим советником кампании Дональда Трампа, сообщил американским журналистам, что будет работать "только персонально на Юлию Тимошенко, чтобы организовать несколько ее визитов" в США.
.jpg)